[75] D Dx E X Meme Significado Herunterladen

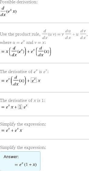
Dt dt t dt dx 5 t2 1 dx jt 2 x dx x x x j d dt 511 lsenxdx i d dx f 5 t r 2 ldt j d dx o x tsen t 2 3 dt 1 e hallar el área comprendida entre las curvas dadas.
[78] D Dx E X Meme Significado Free. Anyways e x walks up to the number 5 who happens to be frantic and asks him what is wrong. So e x which is 1 e x must be positive and always decreasing with increasing x. Here is the image which explains it.
24 points 10 months ago. 5 tells e x there is a partial derivative operator going around and if he catches him that he will go to nothing. Integral de 2 dx 2x integral de e dx ex.
Pues eso necesito la respuesta y no se donde buscarla si alguno habéis sacado buena nota en cálculo y me lo podéis decir lo agradecería hace mil años que no veo las integrales y mi. Derivative of e x e x e x proof of e x. Variable d sollte man nicht verwenden da sie mit d x verwechselt werden könnte.
D e x dx is always positive. Ya que e el número de euler o constante de napier es un número real. El chiste la función que al integrarla da ella misma no es e sino e x.
You must be fun at parties. Image conveys more information than a normal text. As i have learned in my engineering.
General d dx e x e x meme. Señala los teoremas y propiedades utilizados. Posted by 10 months ago.
Differentiation of e x is e x. Yes you need to go back to basics. This thread is archived.
F x d dx f x b integrieren selten aufleiten. Demostración de e x. E x sets out in search for the operator but instead is discovered.
Einige schreibfaule lassen manchmal das vorn weg aber eindeutiger ist es wenn funktion zwischen und dx steht. La integral de un número cualquiera n es el número multiplicado por x es decir. General d dx e x e x meme.
New comments cannot be posted and votes cannot be cast. You probably know e x is always positive and always increases with x. La regla de la cadena.
Plus get the habit of checking for what sounds right and reasonable plausible. D e x dx is always negative one way to know your initial conjecture had to be wrong.